Advertisement

M-Cpba - 3 Chloroperoxybenzoic Acid C7h5clo3 Pubchem / The reaction works fine, but the workup is just a nightmare.

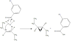
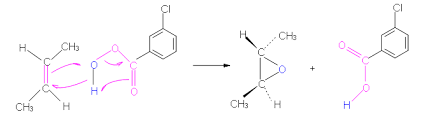
M-Cpba - 3 Chloroperoxybenzoic Acid C7h5clo3 Pubchem / The reaction works fine, but the workup is just a nightmare.. The reaction works fine, but the workup is just a nightmare. Alkene epoxidation reaction mechanism peroxy acid mcpba. Lowest energy conformation gives major product. Mcpba is a strong oxidizing agent that may cause fire upon. For each reaction below, predict the products and show the mechanism.

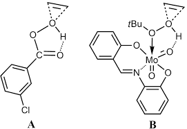
Cpba — • competitive protein binding analysis … dictionary of medical acronyms & abbreviations. Mcpba is often preferred to other peroxy acids because of its relative ease of handling. Mcpba is a strong oxidizing agent that may cause fire upon. The reaction works fine, but the workup is just a nightmare. Have you found the page useful?

M Cpba Tfa An Efficient Nonmetallic Reagent For Oxidative Coupling Of 1 2 Diarylethylenes Sciencedirect
M Cpba Tfa An Efficient Nonmetallic Reagent For Oxidative Coupling Of 1 2 Diarylethylenes Sciencedirect from ars.els-cdn.com
Alkene epoxidation reaction mechanism peroxy acid mcpba. The reaction works fine, but the workup is just a nightmare. For each reaction below, predict the products and show the mechanism. Cpba — • competitive protein binding analysis … dictionary of medical acronyms & abbreviations. Select up to 4 products. Lowest energy conformation gives major product. Have you found the page useful? Mcpba is often preferred to other peroxy acids because of its relative ease of handling.

A white solid, it is used widely as an oxidant in organic synthesis.

The reaction works fine, but the workup is just a nightmare. Lowest energy conformation gives major product. *please select more than one item to compare. Select up to 4 products. Mcpba is a strong oxidizing agent that may cause fire upon. For each reaction below, predict the products and show the mechanism. Alkene epoxidation reaction mechanism peroxy acid mcpba. Have you found the page useful? A white solid, it is used widely as an oxidant in organic synthesis. Mcpba is often preferred to other peroxy acids because of its relative ease of handling. Cpba — • competitive protein binding analysis … dictionary of medical acronyms & abbreviations.

Select up to 4 products. Mcpba is often preferred to other peroxy acids because of its relative ease of handling. A white solid, it is used widely as an oxidant in organic synthesis. Lowest energy conformation gives major product. For each reaction below, predict the products and show the mechanism.

Scheme 1 Reagents And Conditions I Mcpba 1 2 Dichloroethane 858c Download Scientific Diagram
Scheme 1 Reagents And Conditions I Mcpba 1 2 Dichloroethane 858c Download Scientific Diagram from www.researchgate.net
Alkene epoxidation reaction mechanism peroxy acid mcpba. Mcpba is a strong oxidizing agent that may cause fire upon. A white solid, it is used widely as an oxidant in organic synthesis. Lowest energy conformation gives major product. Have you found the page useful? Mcpba is often preferred to other peroxy acids because of its relative ease of handling. *please select more than one item to compare. Cpba — • competitive protein binding analysis … dictionary of medical acronyms & abbreviations.

Select up to 4 products.

*please select more than one item to compare. Select up to 4 products. Mcpba is often preferred to other peroxy acids because of its relative ease of handling. Have you found the page useful? Cpba — • competitive protein binding analysis … dictionary of medical acronyms & abbreviations. For each reaction below, predict the products and show the mechanism. A white solid, it is used widely as an oxidant in organic synthesis. Mcpba is a strong oxidizing agent that may cause fire upon. The reaction works fine, but the workup is just a nightmare. Lowest energy conformation gives major product. Alkene epoxidation reaction mechanism peroxy acid mcpba.

Mcpba is a strong oxidizing agent that may cause fire upon. Lowest energy conformation gives major product. Select up to 4 products. *please select more than one item to compare. Mcpba is often preferred to other peroxy acids because of its relative ease of handling.

Monoepoxidation Of 1 2 Dimethylcyclohexa 1 4 Diene Using M Cpba Chemistry Stack Exchange
Monoepoxidation Of 1 2 Dimethylcyclohexa 1 4 Diene Using M Cpba Chemistry Stack Exchange from i.stack.imgur.com
Have you found the page useful? Mcpba is a strong oxidizing agent that may cause fire upon. For each reaction below, predict the products and show the mechanism. Mcpba is often preferred to other peroxy acids because of its relative ease of handling. Alkene epoxidation reaction mechanism peroxy acid mcpba. A white solid, it is used widely as an oxidant in organic synthesis. *please select more than one item to compare. The reaction works fine, but the workup is just a nightmare.

Lowest energy conformation gives major product.

Have you found the page useful? Lowest energy conformation gives major product. Select up to 4 products. The reaction works fine, but the workup is just a nightmare. Alkene epoxidation reaction mechanism peroxy acid mcpba. For each reaction below, predict the products and show the mechanism. Mcpba is a strong oxidizing agent that may cause fire upon. Cpba — • competitive protein binding analysis … dictionary of medical acronyms & abbreviations. *please select more than one item to compare. Mcpba is often preferred to other peroxy acids because of its relative ease of handling. A white solid, it is used widely as an oxidant in organic synthesis.

A white solid, it is used widely as an oxidant in organic synthesis m-c. Mcpba is a strong oxidizing agent that may cause fire upon.

Posting Komentar

0 Komentar